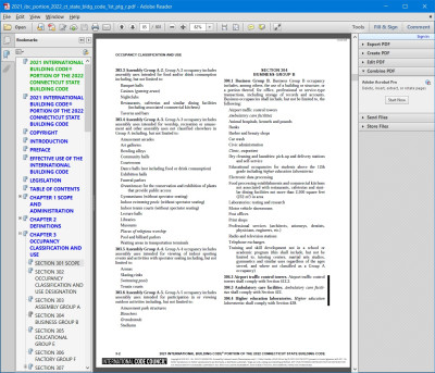
When creating bookmarks in Adobe Acrobat, it is possible to set the font of individual bookmarks to bold, italic, or bold+italic, and also to set the color of the font. Every three years I have to purchase a new series of code books, and in recent years each code has included bookmarks with the major (Chapter title) bookmarks being set for bold+blue.
Some older years don't have any bookmarks set at all. I would like to use FlexiPDF to create a matching bookmark system for those older codes, but there does not appear to be any way to set the format for bookmark fonts. Is this possible?
If it is not possible, please add it to the wish list for the next version. Even if you can't add the ability to format bookmarks, can you at least make FlexiPDF recognize and display such formatting? The bookmarks in those codes are visually much easier to navigate with the colors and font weights -- which do not display properly in FlexiPDF.
Example:
Formatting bookmarks
Post Reply
2 posts
• Page 1 of 1
Jump to
- SoftMaker Office NX and 2024
- ↳ SoftMaker Office NX and 2024 for Windows
- ↳ SoftMaker Office NX and 2024 for Windows (General)
- ↳ TextMaker NX and 2024 for Windows
- ↳ PlanMaker NX and 2024 for Windows
- ↳ Presentations NX and 2024 for Windows
- ↳ BasicMaker NX and 2024 for Windows
- ↳ SoftMaker Office NX and 2024 for Mac
- ↳ SoftMaker Office NX and 2024 for Mac (General)
- ↳ TextMaker NX and 2024 for Mac
- ↳ PlanMaker NX and 2024 for Mac
- ↳ Presentations NX and 2024 for Mac
- ↳ SoftMaker Office NX and 2024 for Linux
- ↳ SoftMaker Office NX and 2024 for Linux (General)
- ↳ TextMaker NX and 2024 for Linux
- ↳ PlanMaker NX and 2024 for Linux
- ↳ Presentations NX and 2024 for Linux
- ↳ SoftMaker Office NX for iOS
- ↳ SoftMaker Office NX for iOS (General)
- ↳ TextMaker NX for iOS
- ↳ PlanMaker NX for iOS
- ↳ Presentations NX for iOS
- ↳ SoftMaker Office NX for Android
- ↳ SoftMaker Office NX for Android (General)
- ↳ TextMaker NX for Android
- ↳ PlanMaker NX for Android
- ↳ Presentations NX for Android
- SoftMaker Office 2021
- ↳ SoftMaker Office 2021 for Windows
- ↳ SoftMaker Office 2021 for Windows (General)
- ↳ TextMaker 2021 for Windows
- ↳ PlanMaker 2021 for Windows
- ↳ Presentations 2021 for Windows
- ↳ BasicMaker 2021 for Windows
- ↳ SoftMaker Office 2021 for Mac
- ↳ SoftMaker Office 2021 for Mac (General)
- ↳ TextMaker 2021 for Mac
- ↳ PlanMaker 2021 for Mac
- ↳ Presentations 2021 for Mac
- ↳ SoftMaker Office 2021 for Linux
- ↳ SoftMaker Office 2021 for Linux (General)
- ↳ TextMaker 2021 for Linux
- ↳ PlanMaker 2021 for Linux
- ↳ Presentations 2021 for Linux
- FreeOffice 2024
- ↳ FreeOffice 2024 for Windows
- ↳ FreeOffice 2024 for Windows (General)
- ↳ FreeOffice TextMaker 2024 for Windows
- ↳ FreeOffice PlanMaker 2024 for Windows
- ↳ FreeOffice Presentations 2024 for Windows
- ↳ FreeOffice 2024 for Mac
- ↳ FreeOffice 2024 for Mac (General)
- ↳ FreeOffice TextMaker 2024 for Mac
- ↳ FreeOffice PlanMaker 2024 for Mac
- ↳ FreeOffice Presentations 2024 for Mac
- ↳ FreeOffice 2024 for Linux
- ↳ FreeOffice 2024 for Linux (General)
- ↳ FreeOffice TextMaker 2024 for Linux
- ↳ FreeOffice PlanMaker 2024 for Linux
- ↳ FreeOffice Presentations 2024 for Linux
- ↳ FlexiPDF NX and 2025 for Windows
- ↳ FreePDF 2025 for Windows
- Miscellaneous
- ↳ SoftMaker Fonts
- ↳ Water Cooler
- ↳ SoftMaker Office 2018 for Windows (General)
- ↳ TextMaker 2018 for Windows
- ↳ PlanMaker 2018 for Windows
- ↳ Presentations 2018 for Windows
- ↳ Thunderbird for Windows
- ↳ BasicMaker 2018 for Windows
- ↳ SoftMaker Office 2018 for Mac (General)
- ↳ TextMaker 2018 for Mac
- ↳ PlanMaker 2018 for Mac
- ↳ Presentations 2018 for Mac
- ↳ SoftMaker Office 2018 for Linux (General)
- ↳ TextMaker 2018 for Linux
- ↳ PlanMaker 2018 for Linux
- ↳ Presentations 2018 for Linux
- ↳ SoftMaker Office 2021 for Android
- ↳ SoftMaker Office 2021 for Android (General)
- ↳ TextMaker 2021 for Android
- ↳ PlanMaker 2021 for Android
- ↳ Presentations 2021 for Android
- ↳ SoftMaker Office 2021 for iOS
- ↳ General
- ↳ TextMaker 2021 for iOS
- ↳ PlanMaker 2021 for iOS
- ↳ Presentations 2021 for iOS
- ↳ FreeOffice 2021
- ↳ FreeOffice 2021 for Windows
- ↳ FreeOffice 2021 for Windows (General)
- ↳ FreeOffice TextMaker 2021 for Windows
- ↳ FreeOffice PlanMaker 2021 for Windows
- ↳ FreeOffice Presentations 2021 for Windows
- ↳ FreeOffice 2021 for Mac
- ↳ FreeOffice 2021 for Mac (General)
- ↳ FreeOffice TextMaker 2021 for Mac
- ↳ FreeOffice PlanMaker 2021 for Mac
- ↳ FreeOffice Presentations 2021 for Mac
- ↳ FreeOffice 2021 for Linux
- ↳ FreeOffice 2021 for Linux (General)
- ↳ FreeOffice TextMaker 2021 for Linux
- ↳ FreeOffice PlanMaker 2021 for Linux
- ↳ FreeOffice Presentations 2021 for Linux
- ↳ BETA SoftMaker Office 2024 for Windows
- ↳ BETA SoftMaker Office 2024 for Windows (general)
- ↳ BETA TextMaker 2024 for Windows
- ↳ BETA PlanMaker 2024 for Windows
- ↳ BETA Presentations 2024 for Windows
- ↳ BETA BasicMaker 2024 for Windows
- ↳ BETA SoftMaker Office 2024 for Mac
- ↳ BETA SoftMaker Office 2024 for Mac (general)
- ↳ BETA TextMaker 2024 for Mac
- ↳ BETA PlanMaker 2024 for Mac
- ↳ BETA Presentations 2024 for Mac
- ↳ BETA SoftMaker Office 2024 for Linux
- ↳ BETA SoftMaker Office 2024 for Linux (general)
- ↳ BETA TextMaker 2024 for Linux
- ↳ BETA PlanMaker 2024 for Linux
- ↳ BETA Presentations 2024 for Linux
- ↳ BETA SoftMaker Office NX for Android
- ↳ BETA SoftMaker Office NX for Android (general)
- ↳ BETA TextMaker NX for Android
- ↳ BETA PlanMaker NX for Android
- ↳ BETA Presentations NX for Android
- ↳ BETA SoftMaker Office NX for iOS
- ↳ BETA SoftMaker Office NX for iOS (general)
- ↳ BETA TextMaker NX for iOS
- ↳ BETA PlanMaker NX for iOS
- ↳ BETA Presentations NX for iOS
- ↳ FreePDF 2022
- ↳ FlexiPDF 2022
